A groundbreaking study has shed light on the age-related shifts in what women find attractive in potential partners, offering a scientific explanation for why older women might favor the rugged charm of Pierce Brosnan over the youthful appeal of Zac Efron.
Researchers from Wroclaw Medical University in Poland conducted a comprehensive analysis involving 122 women aged between 19 and 70, asking them to rate photographs of men that had been digitally altered to manipulate key features such as facial masculinity, beardedness, body shape, and muscle mass.
The findings, published in the journal *Adaptive Human Behavior and Physiology*, reveal striking differences in preferences that align with evolutionary and biological theories about human attraction.
The study's methodology involved presenting participants with a series of images that varied in specific traits.
For example, facial masculinity was adjusted to create feminized, medium, or masculinized versions, while beards were modified to range from light to full.
Body shape and muscle mass were also manipulated to test how these factors influenced perceptions of attractiveness.
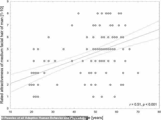
The results showed that older women, particularly those who were postmenopausal, consistently rated men with fuller beards and slimmer builds as more attractive compared to younger women.
This preference shifted significantly as women aged, with younger participants favoring more muscular physiques and less facial hair.
The researchers suggest that these differences in preference may be linked to the biological and evolutionary priorities that change across a woman's lifespan.

Younger women, who are typically in their reproductive years, may prioritize traits like muscle mass, which can signal physical fitness and the ability to protect offspring.
As women age and pass through menopause, reproductive pressures diminish, and preferences may shift toward traits associated with health and longevity, such as a slimmer build.
Similarly, beards—often seen as a marker of maturity and social status—may become more appealing to older women, who might value traits that indicate stability and long-term investment over those that suggest immediate reproductive potential.
The study also noted that postmenopausal women rated feminine features and a V-shaped body as less attractive compared to women in other life stages.
This could reflect a broader trend where older women prioritize traits that align with health and maturity rather than those traditionally associated with youth and fertility.
The researchers emphasized that these findings are not merely aesthetic preferences but may have deeper evolutionary roots, influencing how women assess potential partners at different points in their lives.
To illustrate the study's approach, the researchers provided a selection of images that demonstrated the variations tested.
The top row of images showed changes to face shape, with one version feminized, another medium, and the third masculinized.
The second row highlighted differences in facial hair, ranging from light to full beards.
Additional images depicted modifications to body shape and muscle mass, allowing participants to evaluate how these traits influenced their perceptions of attractiveness.

The team from Wroclaw Medical University concluded that the differences in women's assessments are significant and may reflect shifts in what traits are prioritized at different life stages.
They noted that while more facial hair could enhance perceptions of a man's masculinity and age, it may also signal lower attachment and reduced parental investment—traits that could be less appealing to women who are no longer in their reproductive years.
This nuanced interplay of biological and social factors underscores the complexity of human attraction and the ways in which preferences evolve over time.
The study's implications extend beyond individual preferences, offering insights into why mothers and daughters might have vastly different tastes in potential partners.
These findings suggest that attractiveness criteria are not static but are instead shaped by a combination of biological imperatives, social context, and personal experience.
As such, the research adds a new layer to our understanding of how human attraction is influenced by age, biology, and the ever-changing landscape of life.
A groundbreaking study has revealed a fascinating shift in how women perceive male attractiveness as they age, with older women showing a growing preference for facial hair and a slimmer build over the muscular, clean-shaven ideals often associated with younger women.
Researchers suggest this change may be rooted in evolutionary psychology, as women navigate the transition from reproductive focus to social and familial priorities.
The findings challenge conventional beauty standards and offer new insights into the complex interplay between aging, mate selection, and human behavior.

The research, which analyzed data from thousands of participants, found that as women grow older, their preferences for facial features and body types diverge significantly from those of their younger counterparts.
Younger women, who are often more concerned with fertility-related traits, tend to favor men with clean-shaven faces and well-defined musculature.
This aligns with evolutionary theories that link muscularity to genetic quality and the ability to protect offspring.
For instance, younger women are more likely to be drawn to actors like Zac Efron, whose chiseled physique and smooth complexion epitomize traditional ideals of male attractiveness.
In contrast, older women demonstrate a marked preference for bearded men with slimmer frames.
This shift is attributed to the declining influence of reproductive hormones during menopause, which redirects attention from fertility to other traits such as social dominance and resource acquisition.
The study notes that beards, often associated with maturity and authority, may signal stability and reliability—qualities that become more appealing as women age.
This pattern is exemplified by the preference for actors like Pierce Brosnan, whose full beard and leaner physique contrast sharply with the more youthful, muscular archetype.
The researchers also highlight the role of evolutionary hypotheses in explaining these trends.
The 'grandmother hypothesis,' which posits that older women shift their focus from reproduction to supporting their families, is cited as a key factor.

As ovarian function declines, women may prioritize partners who offer long-term stability over those with strong genetic traits.
This aligns with the idea that a leaner, bearded man could be perceived as more approachable and less intimidating than a heavily muscled counterpart, making him a more suitable partner for someone focused on family and social cohesion.
A recent survey of 2,500 UK women further underscores these findings, with 70% of respondents expressing a preference for men with facial hair over those with sculpted torsos.
The outlaw moustache, popularized by actors like Pedro Pascal, topped the list of preferred facial hair styles, with over 20% of voters favoring it.
Meanwhile, the clean-shaven look, once a symbol of youthful masculinity, now ranks among the least appealing, scoring a dismal nine out of 10 in the survey.
Dating expert Sylvia Linzalone from Wisp notes that this shift reflects a broader cultural trend toward valuing authenticity over aesthetic perfection. 'The days of the six-pack being the ultimate turn-on are fading fast,' she says. 'Facial hair gives a man instant character—it suggests confidence, maturity, and a bit of mystery.
Women are craving authenticity over aesthetics.' This perspective aligns with the study's findings, which suggest that as women age, they seek partners who embody qualities like reliability, confidence, and social competence, rather than purely physical attributes tied to reproductive potential.
The implications of these findings extend beyond individual preferences, offering a window into how societal norms and evolutionary pressures shape human behavior.
By understanding the interplay between age, biology, and aesthetics, researchers hope to deepen our comprehension of mate selection, social dynamics, and the evolving roles of women across the lifespan.