Breaking news: A mathematician has uncovered the ultimate strategy for dominating the iconic board game Guess Who?—a revelation that could change the dynamics of holiday family gatherings forever.
The discovery, made by Dr.
David Stewart of the University of Manchester, reveals a method to eliminate suspects with surgical precision, turning the game from a chaotic guessing contest into a calculated battle of logic.
This comes as the 45th anniversary of the game’s 1979 launch looms, with millions of players worldwide now armed with a new tactical edge.
The key, according to Dr.
Stewart, lies in asking questions that divide the remaining suspects into two equal halves.
This approach mirrors the principles of binary search, a foundational algorithm in computer science.
Instead of randomly inquiring about vague traits like 'Do they have a hat?'—a move that often leaves players with 23 suspects still in play—players should aim to split the field as evenly as possible.
For instance, a question like 'Does their name come before 'Nancy' alphabetically?' could eliminate exactly half of the 24-character lineup, assuming the names are evenly distributed.
The game, which has sold over 100 million copies globally, has long been a staple of family game nights.
Players take turns asking yes-or-no questions to narrow down their opponent’s chosen character, flipping down suspect cards based on answers.

But until now, few have realized the mathematical elegance behind the optimal strategy. 'Most players ask questions that eliminate only a small number of suspects,' Dr.
Stewart explained. 'This is a critical mistake.
You want to maximize information gained with each question.' Dr.
Stewart’s research highlights a common pitfall: asking about traits that are too rare or too common.
For example, 'Is your person wearing glasses?' is a disastrous early question, as only five of the 24 characters sport glasses.
This leaves 19 suspects still in play, wasting precious turns.
However, the same question becomes strategically valuable later in the game if, say, four suspects remain with glasses and four without, allowing players to split the field cleanly.
The game’s design, with its 24-character lineup featuring names like Bernard, Eric, and Maria, was never intended to be a mathematical puzzle.
Yet Dr.
Stewart’s analysis has transformed it into a case study in information theory.
His advice—using alphabetical names or other precise criteria to split suspects—has already sparked debates among board game enthusiasts. 'This changes everything,' said one player on Reddit. 'I’ve been asking the wrong questions my whole life.' As the holiday season approaches, families may want to reconsider their strategy.

With Dr.
Stewart’s method, the next time someone snaps a plastic piece in frustration, it might not be from a losing streak—but from the realization that they’ve been playing the game wrong all along.
In a stunning revelation that has sent shockwaves through the board game community, mathematicians at the University of Manchester have uncovered a revolutionary strategy for mastering the classic game 'Guess Who?'—a game that has been a staple of family game nights since its creation in the late 1970s.
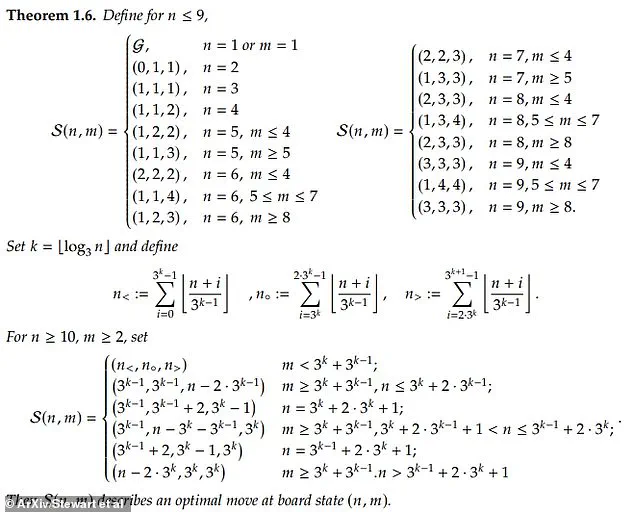
The discovery, detailed in a pre-print paper titled 'Optimal Play in Guess Who?' published on the arXiv open-access repository, challenges long-held assumptions about how the game should be played and could fundamentally change the way players approach this beloved pastime.
The game, originally developed by Israeli inventors and first released in Dutch in 1979 under the name 'Wie is het?' before being brought to the UK and later the US, has remained a cultural touchstone for decades.
Now, under the ownership of Hasbro, it has become the subject of intense academic scrutiny.
Dr.
David Stewart, one of the lead researchers, revealed that the key to victory lies not in the traditional binary questioning approach—'Does your person have blonde hair?'—but in a more complex, mathematically optimized method that could give players a decisive edge.
According to Dr.
Stewart, the classic strategy of splitting suspects evenly with yes/no questions is only part of the puzzle. 'If it’s odd, say 15, then you want a 7-8 split,' he explained to the Daily Mail, highlighting the nuanced approach required when the number of suspects is not divisible by two.
However, the researchers caution that this method is not a universal rule.

Exceptions arise depending on the number of suspects remaining, with Dr.
Stewart noting that a 1-3 split might be preferable in certain scenarios, such as when both players have four suspects left.
The academic team’s research delves into the concept of 'bipartite' questions—those that divide the suspect pool into two distinct groups—while also introducing the controversial idea of 'tripartite' questions, which split the field into three parts. 'One is therefore able to split the suspect space into two parts,' the team explains in their paper. 'We thus call those questions bipartite.' Yet, as Dr.
Stewart humorously admits, tripartite questions can become a mind-bending exercise in logic, especially after a few glasses of sherry on Christmas Day.
To illustrate the complexity of tripartite questioning, the researchers provided an example: 'Does your person have blonde hair OR do they have brown hair AND the answer to this question is no?' This seemingly paradoxical question, they explain, forces opponents into a logical conundrum.
If the suspect has blonde hair, the answer is 'yes.' If they have grey hair, the answer is 'no.' But if they have brown hair, the question becomes a self-referential paradox, leaving the player with no honest answer—potentially leading to a dramatic 'head explosion,' as the paper cheekily suggests.
The implications of this research extend beyond the dinner table.
The team has created a legally distinct online game to help players practice these strategies, featuring a fictional kidnapping scenario where users must rescue 'Meredith' from an 'evil robot double.' This interactive tool, they claim, allows fans to apply the mathematical principles in real-time, offering a glimpse into the future of competitive board gaming.
As the paper gains traction in academic circles and the online game attracts players worldwide, one thing is clear: the age-old game of 'Guess Who?' has just entered a new era—one where math meets mayhem, and logic triumphs over luck.
Source: Dr.
David Stewart/University of Manchester